25 November 2020: Clinical Research
Urinary Metabonomic Profiling Discriminates Between Children with Autism and Their Healthy Siblings
Yujie Liang12AE, Zhou Xiao1B, Xiaoyin Ke1F, Paul Yao1E, Yangxia Chen1B, Ling Lin12F, Jianping Lu12AG*DOI: 10.12659/MSM.926634
Med Sci Monit 2020; 26:e926634
Abstract
BACKGROUND: Autism spectrum disorder (ASD) is a complicated neuropsychiatric disease that displays significant heterogeneity. The diagnosis of ASD is currently primarily dependent upon descriptions of clinical symptoms, and it remains urgent to find biological markers for the detection and diagnosis of autism. The current study applied the urinary metabolic profiling approach to characterize metabolic phenotypes in ASD.
MATERIAL AND METHODS: Urine was obtained from children with ASD and their matched healthy siblings. Samples were analyzed using 1H NMR-based methods designed to measure a broad range of metabolites. Partial least-square-discriminant analysis (PLS-DA) was used to develop models to identify metabonomic variations that can be used to distinguish between individuals with ASD and their unaffected siblings.
RESULTS: A significant difference was observed between the metabolomic profiles of children with ASD and that of their healthy siblings. An increase in the levels of tryptophan, hippurate, glycine, and creatine, and a decrease in trigonelline, melatonin, pantothenate, serotonin, and taurine were observed compared to the control group. We conclude that several metabolic pathways are affected by autism, which suggests that a gut-brain link may be important in the pathophysiology of ASD.
CONCLUSIONS: 1H NMR-based metabonomic analysis of the urine can determine perturbations of specific metabolic pathways related to ASD and help identify a characteristic metabolic fingerprint to better understand the disease and its causes.
Keywords: Autistic Disorder, Metabolomics, Nuclear Magnetic Resonance, Biomolecular, Autism Spectrum Disorder, Case-Control Studies, Child, Child, Preschool, data analysis, Discriminant Analysis, Least-Squares Analysis, Metabolome, Principal Component Analysis, proton magnetic resonance spectroscopy, Siblings
Background
Autism spectrum disorder (ASD) is a major neurodevelopmental disorder. Epidemiological investigation reveals that the prevalence rate of ASD is 1% to 2% worldwide, making it the most common developmental disability in the world [1] with the highest morbidity rate of neurodevelopmental disorders [2]. According to WHO statistics, about 35 million people worldwide have autism. As many as 1.5 million of that population are in China [2]. Typical autism, that is, autism in the traditional sense, has 3 major core symptoms: narrow interest and repetitive stereotyped behaviors, lack of social communication skills, and language and nonverbal communication disorders [3–5]. Because neurological and mental development is severely impeded, 75% of typical autistic patients have mental retardation, and 50% to 70% of adult patients still have social maladjustment or lifelong developmental disabilities, with significant impacts on both themselves and their friends and family. Thus, the social and economic burden of ASD is considerable throughout life [6–8].
Due to the heterogeneity of autism, the underlying mechanism remains unclear. Therefore, the diagnosis and treatment of ASD presents a significant medical challenge. The diagnosis of ASD has been primarily dependent on descriptions of clinical symptoms and testing for multiple criteria listed in the Diagnostic and Statistical Manual of Mental Disorders, Fourth Edition (DSM-IV-TR) [9–11]. However, due to differences in culture and educational levels across the world, the validity of autism rating scales and behavior checklists has often by questioned [12]. Furthermore, while we can make a diagnosis of ASD in children as young as 3 years old, it is still very difficult to diagnose in younger children [13]. There remains a pressing need to find biological markers for detection and diagnosis of autism. There is evidence that impaired metabolism plays an important role in the etiology of ASD, such as nitrogen metabolism-related parameters that show a significant role in autism [14]. While past research has revealed some distinctive biochemical indices in children with autism, because of the low sensitivity and reliability of these biomarkers, these findings have not previously been used in the diagnosis of ASD [15–17].
In the context of systems biology, various “omics” approaches, such as genomics and transcriptomics, have been gaining traction and interest due to their potential to better reveal biomarkers and understand the pathobiology of autism. It has now been just over 20 years since the terms “metabolomic” or “metabonomic” were first introduced into the scientific literature to describe the large-scale study of metabolites expression in cells and tissues [18]. Since then, metabonomics has provided important insights into physiological and disease states and has advanced the understanding of underlying biochemical pathways. The potential applications and importance of metabonomics in autism research lie in its ability to identify metabolites, networks of biofluid, and metabolic states. This study is the first to detect metabolomic changes in children with autism from areas within Eastern Asia and to find metabolic disorders related to the perturbation of carbohydrates, amino acids, and oxidative stress. The establishment of a multi-modal detection program, including (1)H- and (1)H-(13)C NMR-based methods and LC-HRMS-based approaches, promotes the discovery of new biomarkers and identification of specific metabolic phenotypes in the ASD population [19,20]. Moreover, a recent study revealed insights regarding mammalian-microbial co-metabolites in ASD patients [21–23].
In the present study, we used the 1H NMR-based metabolic profiling approach to detect biochemical changes in the metabolomic profiles of autism patients. Multivariate statistical modeling was applied to find differences compared to healthy sibling controls and to identify promising metabolic biomarkers for the clinical diagnosis of autism in further studies.
Material and Methods
PATIENT SELECTION, URINE SAMPLE COLLECTION, AND PREPARATION:
The study was approved by the Ethics Committee of Shenzhen Kangning Hospital (Approval number 2019-K014-01-2). Parents or guardians of each participant gave informed consent before their children were included in this study. Autistic subjects and their healthy siblings, all 3–9 years old, were recruited from Shenzhen Kangning Hospital. The DSM-IV criteria were used for the diagnosis of ASD, and the Childhood Autism Rating Scale (CARS) and Autism Behavior Checklist (ABC) were used by experienced neuropsychologists for screening and diagnosis of autism patients [12].
Morning first-pass urine samples were collected and immediately frozen to avoid bacterial overgrowth. Aliquots were then stored at −80°C until they were delivered for metabolomics analysis. Before detection, urine samples were placed at room temperature to thaw and were then mixed by a vortex.
After being centrifuged for 10 min at 12 000 rpm, the supernatants of each urine sample (600 μL) were mixed with 60 μL of phosphate buffer (1 M Na2HPO4/NaH2PO4, pH 7.4) containing 1% 3-trimethylsilyl-1-[2,2,3,3-2H4] propionate (TSP) and 2 mM NaN3. Urine samples at pH 7.35–7.45 (7.4±0.05) were then transferred into 5-mm NMR tubes (Bruker SampleJet) [24].
:
Using methods we previously reported [25,26], spectra were obtained on a Bruker Avance III 600 spectrometer. The 1H NMR spectra were read out using a uniform one-dimensional pulse sequence. Typically, 128 transients were divided into 64 K data points with a spectral width of 12 000 Hz, an accession time of 2.73 s, and a relaxation delay of 4 s. The corresponding line-broadening factor at 0.3 Hz was applied to all spectra before Fourier transformation. All 1H NMR spectra were processed automatically in-phase, and baseline corrections were made using Topspin 3.2 software (BrukerBioSpin, Rheinstetten, Germany) and were referenced at TSP peak resonance at 0.00 ppm. The transformed urine spectra were aligned regarding the TSP-d4 resonance at 0 ppm. The residual water and urea (4.71–5.06 and 5.72–5.94 ppm) were removed. 1H NMR spectra (0–9.5 ppm) were divided into 147 buckets. After buckets with low variability in patients (RSD <15%) were removed, the data table (138 buckets) was analyzed using partial least-square regression discriminant analysis (PLS-DA).
DATA PROCESSING:
Multivariate data analysis was conducted using SIMCA software (v 14.0, Umetrics). All the variables were mean-centered and scaled by the standard deviation. PLS-DA was used to acquire intrinsic biochemical dissimilarities between predefined sample classes. Significantly characteristic differential metabolites or metabolic features between ASD patients and sibling controls were screened using the S-plot of the PLS-DA model [27]. The Q2 value is a measure of the predictability of the model, in which the R2Y value indicates the goodness of fit. The maximal theoretical value for Q2 is equal to 1 for fitness and predictability. The adjusted P value of the inter-groups nonparametric test (Mann-Whitney U test) for the potential differential metabolites was less than 0.05.
BIOCHEMICAL ASSAY FOR IMPORTANT INDICES IN URINE:
Urine taurine, serotonin, and tryptophan were determinate by a simple colorimetric assay kit (Abcam), while urinary creatinine was assessed with an Autolab-PM4000 Automatic Analyzer (AMS Co., Rome, Italy) using a standardized assay kit.
Results
DEMOGRAPHIC AND CLINICAL CHARACTERISTICS OF PARTICIPANTS:
We collected 44 urine samples (22 ASD and 22 sibling controls). Figure 1 shows patient flow through the trial. Information for each participant, including age, sex, medication, and age at sampling, was collected. The diagnosis of ASD was performed using the Autism Behavior Checklist (ABC) and the Childhood Autism Rating Scales (CARS) Schedule for the assessment of communication and social interaction. Clinical assessments were conducted to ensure that the 22 healthy biological siblings (control group) ages 5–12 (15 males and 7 females) were negative for autistic behavior. Characteristics of the study participants are summarized in Table 1.
:
Typical 1H NMR spectra profiles of urine samples that were obtained from children with ASD and their healthy siblings are shown in Figure 2, with each peak or 2 peaks indicating the different metabolites. The assignment of urinary metabolites could be referenced to chemical shifts reported in the published literature and online databases (HMDB) [28,29], which indicate that the 1H NMR spectral region covers all urinary metabolites. Thus, 1H NMR spectroscopy may be a rapid and reliable analytical tool that can simulate measurement of different metabolites with high reproducibility.
:
To determine whether the urinary metabolite fingerprints showed significant differences between children with ASD and the healthy sibling control group, the PLS-DA models were established and employed. PLS-DA helped maximize the discrimination between samples assigned to different groups. As revealed by Figure 3A, the rational segmentation between ASD and sibling healthy sample dot showed differences in classification between the clustering of the 2 groups.
In addition, a random permutation test was performed to validate the models. The variance and predictive ability (R2X, R2Y, Q2) were established. R2Y provides an estimate of how well the model fits the Y data. In Figure 3B, the green dot represents the R2 value obtained from the replacement test, the blue square dots represent the Q2 value obtained from the replacement test, and the 2 dashed lines represent the return line of R2 and Q2 values. All permuted R2Ys were below or around 0.6 for positive and negative modes. All permuted Q2s were below or around 0 for positive and negative modes, indicating that the established model is consistent with the real situation of the sample data. In general, the original model had good prediction characteristics.
Using an NMR-based metabolomics approach and multivariate statistical tools, we were able to find chemical markers capable of discriminating between children with ASD and healthy sibling controls. The corresponding loading plots were used to reveal which metabolites contributed most to the separation of the 2 groups in the score plots (Figure 3C). Peaks in the positive direction indicate metabolites that are more abundant in the ASD group; consequently, metabolites that are more abundant in the control group are presented as peaks in the negative direction.
DATA ANALYSIS AND IDENTIFICATION OF POTENTIAL BIOMARKERS:
To select potential biomarkers related to ASD based on the results, statistically significant differences for the variables between the ASD and sibling control group were tested using an independent-sample t test. Firstly, the metabolites that differed significantly between the ASD group and the sibling control group (p<0.05) were selected as discriminating metabolites. Next, the variable importance in projection (VIP) greater than 1 served as a criterion for selecting the importance of discriminating variables. Using the criteria above, a total of 10 metabolite chemical shift (VIP >1, P<0.05) were selected as potential biomarkers. Table 2 summarizes the most promising biomarker candidates identified in this study. Our findings suggest that children with ASD display high levels of serotonin, taurine, creatine, and tryptophan and low levels of butyrate, melatonin, citrate, and pantothenate.
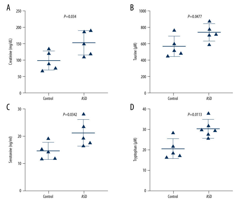
To evaluate the reliability of the results obtained by NMR methods, we assayed several important biochemical indices in the urine (Figure 4). The results for children with ASD showed obviously higher levels of taurine, serotonin, tryptophan, and creatine.
Discussion
At present, children are diagnosed with ASD through a lengthy process involving a range of tests that assess social interaction, communication, and imaginative skills, yet these methods of diagnosis are not always accurate. To remedy this issue, biofluids have proven to be a promising means of facilitating diagnosis and providing insight into the pathophysiological mechanism behind ASD and related disorders. The discovery of biochemical biomarkers from urine is of utmost importance in improving the efficiency and accuracy of diagnosis so that children receive the treatment and support they need as early as possible [30].
In this study, we have shown that children with autism demonstrate systematic metabolic differences compared to sibling controls without autism. Permutation testing using PLS-DA coefficients show significant differences in the metabolic composition of urine between children with and without ASD. Statistical analysis of the urinary NMR data identified some metabolites that varied significantly, while taurine levels were found to be significantly higher in the urine of children with autism, a finding that was also shown by biochemical tests. This suggests that an increase in levels of urinary taurine in autistic patients could indicate alteration in cysteine metabolism in autistic individuals. In addition, taurine is involved in the methionine cycle and plays an important role in cellular protection against free radicals and oxidative stress [31]. In addition, the increase in urine excretion of taurine is supported by evidence that autistic children can have a defect in sulfate transporters and abnormal sulfur metabolism. Through 1H NMR analysis, we also identified an increase in levels of urinary tryptophan in autistic children. This makes sense, as tryptophan is a precursor to 5-hydroxytryptophan (5-HTP), which is subsequently converted into serotonin and melatonin, and we also found that there were abnormal concentrations of melatonin in patients with ASD. Abnormal melatonin synthesis and concentrations can have a critical effect on circadian rhythm, as identified in people who display autistic behavior [32–34]. As serotonin and melatonin are very important neurotransmitters related to some physiological and behavioral functions, the precise metabolism of tryptophan into serotonin and melatonin may be linked to a variety of behavior and cognitive disorders. Serotonin acts as a key neurotransmitter in the bi-directional system of communication between the brain and the gastrointestinal tract (brain-gut axis) [35]. In addition, microbiotas in the gut regulate the biosynthesis of tryptophan and serotonin, and additional evidence suggests that alternate communications between the gut microbiome and the brain may play an important role in human brain disorders. These findings are in line with previous research findings, as several recent publications have used NMR and LC-MS to illustrate the abnormality in tryptophan metabolism in autistic children. A previous study suggested that disruption of the serotonin-NAS-melatonin pathway may be a highly sensitive and specific biomarker of ASD [36]. Our results provide further evidence that perturbations in the tryptophan-serotonin-melatonin pathways are involved in autism. The crosslink of tryptophan-serotonin metabolic pathways with the brain-gut axis provide important clues to the pathophysiology of ASD [37]. In this study, we used TSP as a chemical shift reference standard. However, it is noteworthy that TSP is actually sensitive to pH. Some studies suggested that 4,4-dimethyl-4-silapentane-1-sulfonic acid (DSS) could be used as the chemical shift reference standard for all urinary NMR spectroscopy. Methods such as icoshift could be used in the alignment of biofluid to enhance the quality of data analysis [38].
In general, our preliminary data suggest that there are important differences in the urinary metabolic phenotypes of individuals with and without ASD, and the specificity of the combination of these urinary biochemical biomarkers regarding ASD neurodevelopment conditions requires further evaluation. At the same time, whether the differential metabolites are the cause of autism or are instead the results of pathological development still remains to be determined in further clinical studies or through simulation in animal models. Overall, our results indicate the importance of further investigation into the underlying mechanisms of impairments of melatonin synthesis in ASD.
Conclusions
We demonstrated that urinary metabolomics analysis by 1H NMR, performed in a minimally invasive and convenient manner, can be used to obtain the metabolic profiles of individuals (specifically children) with typical autism. The disturbance of multiple metabolic pathways suggests an association with autism, which provides a promising potential direction for the subsequent verification of potential biomarkers and the cataloging of small-molecule metabolites that could contribute to diagnosis or serve as early screening tools. Although there remain many challenges in clinical application, metabonomics appears to be a promising and time- and cost-efficient tool that may ultimately lead to a simple and effective diagnostic tool for ASD.
Figures
Figure 1. Flow diagram of patients through the trial.
Figure 2. NMR spectrum (δ0.5–6.2 and δ6.2–9.5) of urine at 600 MHz, with a typical 1H spectrum as an external spectrum, showing the assignment of the significant metabolites responsible for distinguishing children with ASD from non-autistic children. The region of δ6.2–9.5 (in the dashed box) was magnified 5 times compared with the corresponding region of δ0.5–6.2 for the purpose of clarity. Ace – acetate; Ach – acetylcholine; Aco – trans-aconitate; Act – acetone; Ad – acetamide; AH – aminohippurate; Ala – alanine; Asc – ascorbate; Bu – butyrate; Cap – caprate; Cho – choline; Ci – citrate; Cn – creatinine; Cr – creatine; DHT – dihydrothymine; DMA – dimethylamine; DMG – N, N-dimethylglycine; EA – ethanolamine; For – formate; Fum – fumarate; GA – guanidoacetate; GABA – Gama-aminobutyrate; Glu – glutamate; Gly – glycine; HIB – 2-hydroxyisobutyrate; Hip – hippurate; HMM – 3-hydroxy-4-methoxymandelate; HP – 3-hydroxypyruvate; IB – isobutyrate; IL – indolelactate; Ino – inosine; KG – α-ketoglutarate; Lac – lactate; Leu – leucine; Lys – lysine; M – malonate; Mal – malate; Met – methionine; MG – methylguanidine; MM – methylmalonate; Mol – methanol; NAA – N-acetylalanine; NMN – N-methylnicotinamide; NP – neopterin; OA – oxaloacetate; PA –picolinate; PAG – phenylacetylglycine; Pan – pantothenate; Py – pyruvate; Set – serotonin; Suc – succinate; Sum – succinimide; Tau – taurine; TMA – trimethylamine; TMAO – trimethylamine N-oxide; Tri – trigonelline; U – unassigned; Val – valine.
Figure 3. (A) Scatter plot of PLS-DA scores of the first principal component obtained from (■) controls and (●) ASD. t[1]p – PLS component 1; t [2]p – PLS component 2. (B) Validation of the corresponding partial least-squares discriminant analysis model by random permutation analysis. (C) The corresponding loading plots represent single NMR spectral region segments. The color map shows the significance of metabolite variations between the 2 clusters.
Figure 4. (A–C) Conventional biochemical measurements of metabolite indices in urine from control and ASD groups. References
1. Fombonne E, The rising prevalence of autism: J Child Psychol Psychiatry, 2018; 59; 717-20
2. Christensen DL, Braun KVN, Baio J, Prevalence and characteristics of autism spectrum disorder among children aged 8 years – autism and developmental disabilities monitoring network, 11 sites, United States, 2012: MMWR Surveill Summ, 2018; 65; 1-23
3. King BH, Navot N, Bernier R, Update on diagnostic classification in autism: Curr Opin Psychiatry, 2014; 27; 105-9
4. American Psychiatric Association: Diagnostic and statistical manual of mental disorders, 2013, Arlington, American Psychiatric Publishing
5. Geschwind DH, Advances in autism: Annu Rev Med, 2009; 60; 367-80
6. Buescher AV, Cidav Z, Knapp M, Costs of autism spectrum disorders in the United Kingdom and the United States: JAMA Pediatr, 2014; 168; 721-28
7. Mallett R, Runswick-Cole K: Commodifying autism: The cultural contexts of ‘Disability’ in the academy Disability and social theory, 2012; 33-51, Springer
8. Zhang X, Ji CY, Autism mental retardation of young children in China: Biomed Environ Sci, 2005; 18; 334-40
9. Matson JL, Nebel-Schwalm M, Matson ML, A review of methodological issues in the differential diagnosis of autism spectrum disorders in children: Res Autism Spectr Disord, 2007; 1; 38-54
10. London EB, Categorical diagnosis: A fatal flaw for autism research?: Trends Neurosci, 2014; 37; 683-86
11. American Psychiatric Association, 2013, American Psychiatric Pub
12. Rellini E, Tortolani D, Trillo S, Childhood Autism Rating Scale (CARS) and Autism Behavior Checklist (ABC) correspondence and conflicts with DSM-IV criteria in diagnosis of autism: J Autism Dev Disord, 2004; 34; 703-8
13. Guthrie W, Swineford LB, Nottke C, Early diagnosis of autism spectrum disorder: Stability and change in clinical diagnosis and symptom presentation: J Child Psychol Psychiatry, 2013; 54; 582-90
14. Abu Shmais GA, Al-Ayadhi LY, Al-Dbass AM, Mechanism of nitrogen metabolism-related parameters and enzyme activities in the pathophysiology of autism: J Neurodev Disord, 2012; 4; 4
15. Yap IK, Angley M, Veselkov KA, Urinary metabolic phenotyping differentiates children with autism from their unaffected siblings and age-matched controls: J Proteome Res, 2010; 9; 2996-3004
16. Emond P, Mavel S, Aïdoud N, GC-MS-based urine metabolic profiling of autism spectrum disorders: Anal Bioanal Chem, 2013; 405; 5291-300
17. Loth E, Spooren W, Ham LM, Identification and validation of biomarkers for autism spectrum disorders: Nat Rev Drug Discov, 2016; 15; 70-73
18. Beckonert O, Keun HC, Ebbels TMD, Metabolic profiling, metabolomic and metabonomic procedures for NMR spectroscopy of urine, plasma, serum and tissue extracts: Nat Protoc, 2007; 2; 2692-703
19. Diémé B, Mavel S, Blasco H, Metabolomics study of urine in autism spectrum disorders using a multiplatform analytical methodology: J Proteome Res, 2015; 14; 5273-82
20. Bitar T, Mavel S, Emond P, Identification of metabolic pathway disturbances using multimodal metabolomics in autistic disorders in a Middle Eastern population: J Pharm Biomed Anal, 2018; 152; 57-65
21. Mussap M, Noto A, Fanos V, Metabolomics of autism spectrum disorders: Early insights regarding mammalian-microbial cometabolites: Expert Rev Mol Diagn, 2016; 16; 869-81
22. Ming X, Stein TP, Barnes V, Metabolic perturbance in autism spectrum disorders: A metabolomics study: J Proteome Res, 2012; 11; 5856-62
23. Mayer EA, Padua D, Tillisch K, Altered brain-gut axis in autism: comorbidity or causative mechanisms?: Bioessays, 2014; 36; 933-39
24. Sun YJ, Wang HP, Liang YJ, An NMR-based metabonomic investigation of the subacute effects of melamine in rats: J Proteome Res, 2012; 11; 2544-50
25. Liang YJ, Wang HP, Long DX: Biomarkers, 2012; 17; 566-74
26. Liang YJ, Wang P, Long DX, The progressive alteration of urine metabolomic profiles of rats following long-term and low-dose exposure to permethrin: Biomarkers, 2020; 25; 94-99
27. Worley B, Powers R, Multivariate analysis in metabolomics: Curr Metabolomics, 2013; 1; 92-107
28. Maitre L, Lau CHE, Vizcaino E, Assessment of metabolic phenotypic variability in children’s urine using 1 H NMR spectroscopy: Sci Rep, 2017; 7; 46082
29. Wishart DS, Knox C, Guo AC, HMDB: A knowledgebase for the human metabolome: Nucleic Acids Res, 2009; 37(Suppl 1); D603-10
30. Zhang A, Sun H, Wang P, Recent and potential developments of biofluid analyses in metabolomics: J Proteome Res, 2012; 75; 1079-88
31. Park E, Cohen I, Gonzalez M, Is taurine a biomarker in autistic spectrum disorder?: Taurine 10, 2017; 3-16, Springer
32. Nir I, Meir D, Zilber N, Brief report: Circadian melatonin, thyroid-stimulating hormone, prolactin, and cortisol levels in serum of young adults with autism: J Autism Dev Disord, 1995; 25; 641-54
33. Hayashi E, Effect of melatonin on sleep-wake rhythm: the sleep diary of an autistic male: Psychiatry Clin Neurosci, 2000; 54; 383-84
34. Melke J, Goubran Botros H, Chaste P, Abnormal melatonin synthesis in autism spectrum disorders: Mol Psychiatry, 2008; 13; 90-98
35. Crane JD, Palanivel R, Mottillo EP, Inhibiting peripheral serotonin synthesis reduces obesity and metabolic dysfunction by promoting brown adipose tissue thermogenesis: Nat Med, 2015; 21; 166-72
36. Jenkins TA, Nguyen JC, Polglaze KE, Influence of tryptophan and serotonin on mood and cognition with a possible role of the gut-brain axis: Nutrients, 2016; 8; 56
37. Galland L, The gut microbiome and the brain: J Med Food, 2014; 17; 1261-72
38. Emwas AH, Saccenti E, Gao X, Recommended strategies for spectral processing and post-processing of 1D 1H-NMR data of biofluids with a particular focus on urine: Metabolomics, 2018; 14; 31
Figures
Figure 1. Flow diagram of patients through the trial.
Figure 2. NMR spectrum (δ0.5–6.2 and δ6.2–9.5) of urine at 600 MHz, with a typical 1H spectrum as an external spectrum, showing the assignment of the significant metabolites responsible for distinguishing children with ASD from non-autistic children. The region of δ6.2–9.5 (in the dashed box) was magnified 5 times compared with the corresponding region of δ0.5–6.2 for the purpose of clarity. Ace – acetate; Ach – acetylcholine; Aco – trans-aconitate; Act – acetone; Ad – acetamide; AH – aminohippurate; Ala – alanine; Asc – ascorbate; Bu – butyrate; Cap – caprate; Cho – choline; Ci – citrate; Cn – creatinine; Cr – creatine; DHT – dihydrothymine; DMA – dimethylamine; DMG – N, N-dimethylglycine; EA – ethanolamine; For – formate; Fum – fumarate; GA – guanidoacetate; GABA – Gama-aminobutyrate; Glu – glutamate; Gly – glycine; HIB – 2-hydroxyisobutyrate; Hip – hippurate; HMM – 3-hydroxy-4-methoxymandelate; HP – 3-hydroxypyruvate; IB – isobutyrate; IL – indolelactate; Ino – inosine; KG – α-ketoglutarate; Lac – lactate; Leu – leucine; Lys – lysine; M – malonate; Mal – malate; Met – methionine; MG – methylguanidine; MM – methylmalonate; Mol – methanol; NAA – N-acetylalanine; NMN – N-methylnicotinamide; NP – neopterin; OA – oxaloacetate; PA –picolinate; PAG – phenylacetylglycine; Pan – pantothenate; Py – pyruvate; Set – serotonin; Suc – succinate; Sum – succinimide; Tau – taurine; TMA – trimethylamine; TMAO – trimethylamine N-oxide; Tri – trigonelline; U – unassigned; Val – valine.
Figure 3. (A) Scatter plot of PLS-DA scores of the first principal component obtained from (■) controls and (●) ASD. t[1]p – PLS component 1; t [2]p – PLS component 2. (B) Validation of the corresponding partial least-squares discriminant analysis model by random permutation analysis. (C) The corresponding loading plots represent single NMR spectral region segments. The color map shows the significance of metabolite variations between the 2 clusters.
Figure 4. (A–C) Conventional biochemical measurements of metabolite indices in urine from control and ASD groups. Tables
Table 1. Demographic and clinical features of participants in this research.
Table 2. Summary of the discriminant metabolites accountable for the separation of metabolic profiles between control vs. ASD groups.
Table 1. Demographic and clinical features of participants in this research.
Table 2. Summary of the discriminant metabolites accountable for the separation of metabolic profiles between control vs. ASD groups. In Press
24 Jan 2024 : Database Analysis
Radiographic Assessment of 121 Glass Fiber Post Procedures in 32 Patients Aged 21-60 Years Performed by 6th...Med Sci Monit In Press; DOI: 10.12659/MSM.943436
29 Jan 2024 : Meta-Analysis
Accuracy of MRI-Based Radiomics in Diagnosis of Placental Accreta Spectrum: A PRISMA Systematic Review and ...Med Sci Monit In Press; DOI: 10.12659/MSM.943461
01 Feb 2024 : Database Analysis
Evaluating the Internal Anatomy of Maxillary Premolars in an Adult Saudi Subpopulation Using 2 Classificati...Med Sci Monit In Press; DOI: 10.12659/MSM.943455
27 Feb 2024 : Clinical Research
Retrospective Study to Compare the Effectiveness of Minimally Invasive Microscopic Unilateral Laminotomy wi...Med Sci Monit In Press; DOI: 10.12659/MSM.943815
Most Viewed Current Articles
16 May 2023 : Clinical Research
Electrophysiological Testing for an Auditory Processing Disorder and Reading Performance in 54 School Stude...DOI :10.12659/MSM.940387
Med Sci Monit 2023; 29:e940387
17 Jan 2024 : Review article
Vaccination Guidelines for Pregnant Women: Addressing COVID-19 and the Omicron VariantDOI :10.12659/MSM.942799
Med Sci Monit 2024; 30:e942799
14 Dec 2022 : Clinical Research
Prevalence and Variability of Allergen-Specific Immunoglobulin E in Patients with Elevated Tryptase LevelsDOI :10.12659/MSM.937990
Med Sci Monit 2022; 28:e937990
01 Jan 2022 : Editorial
Editorial: Current Status of Oral Antiviral Drug Treatments for SARS-CoV-2 Infection in Non-Hospitalized Pa...DOI :10.12659/MSM.935952
Med Sci Monit 2022; 28:e935952






